Products Description
|
Product Name |
API 5L X52 Seamless Pipe |
|
Outer Diameter (OD) |
12.7 mm – 710 mm (0.5" – 28") |
|
Wall Thickness |
3 mm – 45 mm (SCH 10 to XXS) |
|
Length Options |
- SRL: Single Random Length (5–7 m) |
|
Material Standards |
- API 5L psl1/ psl2 |
|
Steel Grades |
- x52 |
|
Manufacturing Process |
- Hot Rolled (HFW alternative for seamless) |
|
Application |
High-temperature service, oil & gas transmission, refinery piping, boiler systems |
|
Surface Finish |
- Bare (as-rolled) |
|
End Protection |
Plastic caps (standard), beveled ends for welding |
|
Packaging |
Bundles (with steel strips) or Bulk shipment |
|
Testing & Inspection |
- Hydrostatic Testing (mandatory) |
|
Certification |
Mill Test Certificate (MTC), API 5L, ISO,CE certifications |
|
Delivery Time |
7 –30 days, depending on order quantity and customization level |
|
Payment Terms |
L/C (Letter of Credit) or T/T (Telegraphic Transfer) |
Chemical Composition of API 5L X52 Seamless Pipe
|
Steel Grade |
Mass fraction, % based on heat and product analyses |
Carbon Equiv a |
|||||||||||||||||
|
|
C |
Si |
Mn |
P |
S |
V |
Nb |
Ti |
Other |
CE IIW |
CE Pcm |
||||||||
|
|
max b |
max |
max b |
max |
max |
max |
max |
max |
max |
max |
|||||||||
|
Seamless and Welded Pipe |
|||||||||||||||||||
|
X52N |
0.24 |
0.45 |
1.4 |
0.025 |
0.015 |
0.1 |
0.05 |
0.04 |
d,e,l |
0.43 |
0.25 |
||||||||
|
X52Q |
0.18 |
0.45 |
1.5 |
0.025 |
0.015 |
0.05 |
0.05 |
0.04 |
e,l |
0.43 |
0.25 |
||||||||
|
Welded Pipe |
|||||||||||||||||||
|
X52M |
0.22 |
0.45 |
1.4 |
0.025 |
0.015 |
d |
d |
d |
e,l |
0.43 |
0.25 |
||||||||
|
a. SMLS t>0.787", CE limits shall be as agreed. The CEIIW limits applied fi C > 0.12% and the CEPcm limits apply if C ≤ 0.12%, |
|||||||||||||||||||
Mechanical Properties of API 5L X52 Seamless Pipe
|
Pipe Grade |
Tensile Properties – Pipe Body of SMLS and Welded Pipes PSL 2 |
Seam of Welded Pipe |
|||||
|
Yield Strength a |
Tensile Strength a |
Ratio a,c |
Elongation |
Tensile Strength d |
|||
|
Rt0,5 PSI Min |
Rm PSI Min |
R10,5IRm |
(in 2in) |
Rm (psi) |
|||
|
Af % |
|||||||
|
Minimum |
Maximum |
Minimum |
Maximum |
Maximum |
Minimum |
Minimum |
|
|
X52N,X52Q,X52M |
52,200 |
76,900 |
66,700 |
110,200 |
0.93 |
f |
66,700 |
|
a. For intermediate grade, refer to the full API5L specification. |
|||||||
|
b. for grades > X90 refer to the full API5L specification. |
|||||||
|
c. This limit applies for pies with D> 12.750 in |
|||||||
|
d. For intermediate grades, the specified minimum tensile strength for the weld seam shall be the same value as was determined for the pipe body using foot a. |
|||||||
|
e. for pipe requiring longitudinal testing, the maximum yield strength shall be ≤ 71,800 psi |
|||||||
|
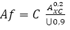
f. The specified minimum elongation, Af, expressed in percent and rounded to the nearest percent, shall be determined using the following equation: |
|||||||
|
|
|||||||
|
Where C is 1 940 for calculation using Si units and 625 000 for calculation using USC units |
|||||||
|
Axc is the applicable tensile test piece cross-sectional area, expressed in square millimeters (square inches) , as follows |
|||||||
|
– For circular cross-section test pieces, 130mm2 (0.20 in2) for 12.7 mm (0.500 in) and 8.9 mm (.350 in) diameter test pieces; and 65 mm2 (0.10 in2) for 6.4 mm (0.250in) diameter test pieces. |
|||||||
|
– For full-section test pieces, the lesser of a) 485 mm2 (0.75 in2) and b) the cross-sectional area of the test piece, derived using the specified outside diameter and the specified wall thickness of the pipe, rounded to the nearest 10 mm2 (0.10in2) |
|||||||
|
– For strip test pieces, the lesser of a) 485 mm2 (0.75 in2) and b) the cross-sectional area of the test piece, derived using the specified width of the test piece and the specified wall thickness of the pipe, rounded to the nearest 10 mm2 (0.10in2) |
|||||||
|
U is the specified minimum tensile strength, expressed in megapascals (pounds per square inch |
|||||||
|
g. Lower values fo R10,5IRm may be specified by agreement |
|||||||
|
h. for grades > x90 refer to the full API5L specification. |
|||||||
Outside Diameter and Out of roundness Tolerance
|
Specified Outside Diameter D (in) |
Diameter Tolerance, inches d |
Out-of-Roundness Tolerance in |
||||
|
Pipe except the end a |
Pipe end a,b,c |
Pipe except the End a |
Pipe End a,b,c |
|||
|
SMLS Pipe |
Welded Pipe |
SMLS Pipe |
Welded Pipe |
|||
|
< 2.375 |
-0.031 to + 0.016 |
– 0.031 to + 0.016 |
0.048 |
0.036 |
||
|
≥2.375 to 6.625 |
0.020D for |
0.015D for |
||||
|
+/- 0.0075D |
– 0.016 to + 0.063 |
D/t≤75 |
D/t≤75 |
|||
|
By agreement for |
By agreement for |
|||||
|
D/t≤75 |
D/t≤75 |
|||||
|
>6.625 to 24.000 |
+/- 0.0075D |
+/- 0.0075D, but max of 0.125 |
+/- 0.005D, but max of 0.063 |
0.020D |
0.015D |
|
|
>24 to 56 |
+/- 0.01D |
+/- 0.005D but max of 0.160 |
+/- 0.079 |
+/- 0.063 |
0.015D for but max of 0.060 |
0.01D for but max of 0.500 |
|
For |
For |
|||||
|
D/t≤75 |
D/t≤75 |
|||||
|
By agreement |
By agreement |
|||||
|
for |
for |
|||||
|
D/t≤75 |
D/t≤75 |
|||||
|
>56 |
As agreed |
|||||
|
a. The pipe end includes a length of 4 in ate each of the pipe extremities |
||||||
|
b. For SMLS pipe the tolerance apply for t≤0.984in and the tolerances for the thicker pipe shall be as agreed |
||||||
|
c. For expanded pipe with D≥8.625in and for non-expanded pipe, the diameter tolerance and the out-of-roundness tolerance may be determined using the calculated inside diameter or measured inside diameter rather than the specified OD. |
||||||
|
d. For determining compliance to diameter tolerance, the pipe diameter is defined as the circumference of the pipe in any circumferential plane divide by Pi. |
||||||
wall thickness Tolerance
| Wall thickness | Tolerances |
|---|---|
| inches | inches |
| SMLS pipe b | |
| ≤ 0.157 | -1.2 |
| >0.157 to < 0.948 | + 0.150t / – 0.125t |
| ≥ 0.984 | + 0.146 or + 0.1t, whichever is the greater |
| – 0.120 or – 0.1t, whichever is the greater | |
| Welded pipe c,d | |
| ≤ 0.197 | +/- 0.020 |
| > 0.197 to < 0.591 | +/- 0.1t |
| ≥ 0.591 | +/- 0.060 |
| a. If the purchase order specifies a minus tolerance for wall thickness smaller than the applicable value given in this table, the plus tolerance for wall thickness shall be increased by an amount sufficient to maintain the applicable tolerance range. | |
| b. For pipe with D≥ 14.000 in and t≥0.984in, the wall thickness tolerance locally may exceed the plus tolerance for wall thickness by an additional 0.05t provided that the plus tolerance for mass is not exceeded. | |
| c. The plus tolerance for wall thickens does not apply to the weld area | |
| d. See the full API5L spec for full details | |
API 5L X52 PSL2 Pipes Impact Test Properties
|
Specified outside |
Full-size CVN absorbed energy, |
||||||
|
Grade |
|||||||
|
≤ L415 or |
> L415 0r X60 |
> L450 or X65 |
> L485 or X70 |
> L555 or X80 |
> L625 or X90 |
> L690 or X100 |
|
|
≤508 (20. 000) |
27 (20) |
27 (20) |
27 (20) |
40 (30) |
40 (30) |
40 (30) |
40 (30) |
|
>508 (20.000) to |
27 (20) |
27 (20) |
27 (20) |
40 (30) |
40 (30) |
40 (30) |
40 (30) |
|
>762 (30.000) to |
40 (30) |
40 (30) |
40 (30) |
40 (30) |
40 (30) |
54 (40) |
54 (40) |
|
>914 (36.000) to |
40 (30) |
40 (30) |
40 (30) |
40 (30) |
40 (30) |
54 (40) |
68 (50) |
|
>1 219 (48.000) to |
40 (30) |
54 (40) |
54 (40) |
54 (40) |
54 (40) |
68 (50) |
81 (60) |
|
>1 422 (56.000) to |
40 (30) |
54 (40) |
68 (50) |
68 (50) |
81 (60) |
95 (70) |
108 (80) |
Pipe weld and HAZ tests
The minimum average (of a set of three test pieces) absorbed energy for each pipe weld and HAZ test, based upon full-size test pieces and a test temperature of 0 °C (32 °F), or if agreed a lower test temperature, shall be
a) 27 J (20 ft.lbf) for pipe with D < 1 422 mm (56.000in) in grades ≤ L555 or X80;
b) 40 J (30 ft.lbf) for pipe with D ≥ 1 422 mm (56.000 in);
c) 40 J (30 ft.lbf) for pipe in grades > L555 or X80.
NOTE The HAZ of the longitudinal seam weld in HFW welded pipe is usually too narrow to permit accurate sampling for Charpy testing. The requirement for Charpy testing of the seam weld HAZ applies only to SAWL/SAWH and COWL/COWH pipe.
Surface Coating:
Common treatments include black, varnish, anti-rust oil, 3PE (three-layer polyethylene), FBE (fusion-bonded epoxy),3PP(Three-Layer Polypropylene) and hot-dip galvanizing to enhance corrosion resistance in harsh environments.
Applications
★Onshore and offshore oil and gas pipelines.
★Refinery and petrochemical plant piping systems.
★Boiler tubes, structural supports, and high-pressure fluid transfer.
★Sour service environments (with H₂S resistance when specified as X52NS/QS/MS)
Products Description

Products Description
we are here for you
Hot Tags: api 5l x52 seamless pipe, China api 5l x52 seamless pipe manufacturers, suppliers, factory


